登場人物紹介
僕:数学が好きな高校生。
ユーリ:僕のいとこの中学生。 僕のことを《お兄ちゃん》と呼ぶ。 論理的な話は好きだが飽きっぽい。
ここは僕の部屋。
僕といとこのユーリは、 数学の《順序》についておしゃべりしていた。
ポポラという仮想的なゲームを行う4人を例にして、 トーナメントで決まる強さの関係を調べていたところ(第463回参照)。
ユーリは第3位決定戦で新たにわかることが増えると主張していたけれど……。
僕「だから、 第3位決定戦でBとCのどちらが勝つかで新たにわかることは違うんだ」
第3位決定戦でBが勝った場合

C→Aであることが新たにわかった。
第3位決定戦でCが勝った場合

B→Dであることがわかるけれど……

B→Dであることは第3位決定戦前にわかっていた。
ユーリ「ぐえ。ほんとだ」
僕「だから、ユーリが作ってくれた総当たりの表でも、 第3位決定戦の後でハテナ(?)が減る場合と減らない場合がある」
ユーリ「ちょっと待って。 もともとB→AとA→Dから、B→Dはわかってた。 てことは、 第3位決定戦でBが勝った場合、 C→BとB→AからC→Aがわかる。 だったら、総当たり表は全部うまる!」
第3位決定戦でBが勝った場合、総当たり表からハテナが消える


僕「確かにそうだね。 でも……」
ユーリ「でも、第3位決定戦でCが勝った場合、 どーしてもハテナが残っちゃう! ぐぬぬ」
第3位決定戦でCが勝った場合、総当たり表でハテナが残る


僕「ハテナが残るの、ユーリは嫌なんだね」
ユーリ「別にそーゆーんじゃないけど、 気になるじゃん」
僕「でも、この総当たり表は便利だよ。 消したいハテナマークを見れば、誰と誰を戦わせればいいかすぐにわかるからね」
ユーリ「おっ、たーしーかーに!」
僕「AとCのどちらが強いか決まってないから、そこにハテナがついている。 《決まってない》というのは、直接勝負していないし、 推移律からも決まらないという意味だよ」
ユーリ「そんなの、いまさら言わなくてもわかってるって」
僕「だから、総当たり表は便利」
ユーリ「んー、でもね、総当たり表を見ても 順位はすぐにはわからないよね?」
僕「なるほど。それはそうだね。たとえばこれを見ても順位はわかりにくい。 それは確かにそう」
総当たり表を見ても順位はわかりにくい

ユーリ「……あっ、でもDが最強なのはすぐわかる! だってDは縦にマルが並んでるもん。全員に勝つ!」
僕「鋭い!」
Dが最強

ユーリ「そして、Cが最弱。だってCは縦にバツが並んでる……あれ? マルがひとつある。 あ、自分自身だ」
僕「そうだね。反射律を表すつもりでA→A, B→B, C→C, D→Dを入れたけど、 総当たり表が読みにくくなった。じゃあテン(・)で消しておこう。 そうすると、Cが最弱なのが、縦にバツが並ぶことで見てとれる」
ユーリ「全員に負ける……」
Cが最弱

僕は考える。
トーナメントにしても、総当たりのリーグ戦にしても、よく知っていると思っていた。
でもこうやって改めてユーリとおしゃべりしていると、 それなりに発見があるもんだなあ。
彼女の言う通り、 総当たり表では、 最強と最弱はわかるけれど、 他の順位はすぐにはわからない。
待てよ……。
僕「……」
ユーリ「お兄ちゃん、何考えてんの?」
僕「トーナメント図に、さっき矢印を描いてたよね」
ユーリ「こーゆーの?」

僕「そう。この二つの図はそっくりだけど、 状況はずいぶん違う」
ユーリ「Cが勝ったときはハテナが残る」
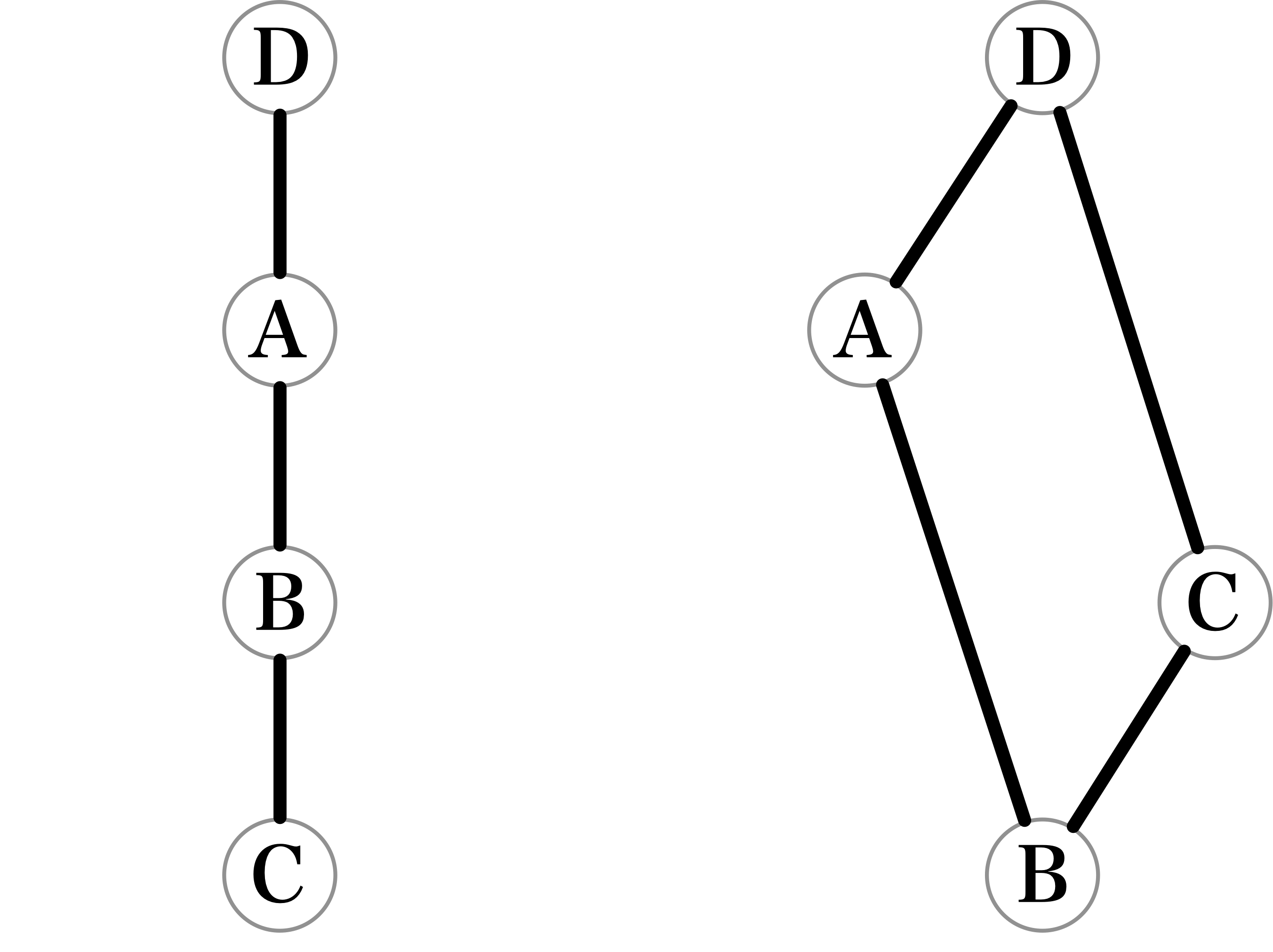
僕「この二つの図で、二つに分かれているDをまとめて、矢印を少し整理するとこうなる」

ユーリ「そっくり」
僕「このままだとそっくりだ。 そこで、Bが勝った左の図で、 推移律からわかる矢印を消してしまう。 つまりC→Dの矢印」
推移律からわかるC→Dを消す

ユーリ「ほーん……で?」
僕「左の図はC→B→A→Dと一本道になる。 でも右の図はBからAとCの二つに分岐して、AとCからDに合流する。 この二つはもうそっくりじゃない。明らかに違うよね!」
無料で「試し読み」できるのはここまでです。 この続きをお読みになるには「読み放題プラン」へのご参加が必要です。
ひと月500円で「読み放題プラン」へご参加いただきますと、 470本以上の記事がすべて読み放題になりますので、 ぜひ、ご参加ください。
参加済みの方/すぐに参加したい方はこちら
結城浩のメンバーシップで参加 結城浩のpixivFANBOXで参加(2026年3月13日)